Obtaining pressuremeter parameters
See AFNOR, Annex D (normative) Obtaining pressuremeter parameters, NF EN ISO 22476-4, AFNOR, 2015, p.38.
Obtaining the Ménard pressuremeter modulus
See AFNOR, D.5 Obtaining the Ménard pressuremeter modulus, NF EN ISO 22476-4, AFNOR, 2015, p.44.
Ménard pressuremeter modulus EM
See AFNOR, D.5.2 Ménard pressuremeter modulus EM, NF EN ISO 22476-4, AFNOR, 2015, p.44-45.
According to the type of probe cover, the pressuremeter modulus shall be obtained by using the corresponding equations given in D.5.2.2 or D.5.2.3.
D.5.2.2 Flexible cover

In the Geo-log 4 report this corresponds to the following interface:

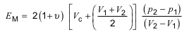
D.5.2.3 Slotted tube

where
- ν is the Poisson’s ratio;
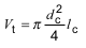
is the volume of the central measuring cell, without slotted tube;
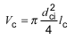
is the effective volume of the slotted tube;
The corresponding equation according to either D.5.2.2 or D.5.2.3 used shall be reported.
In the Geo-log 4 report this corresponds to the following interface:

In the case of a slotted tube the Flexible cover method (D.5.2.2) is also possible, Vc being calculated from volume loss test.